This page displays information for the following method:
|
|
|
|
|
PCA and mutual nearest neighbours
|
|
|
|
|
|
|
Overall
Plot

Individual metrics
Overall

Batch correction
Batch correction

PCR batch

Batch ASW

Graph iLISI

Graph connectivity

kBET

Bio conservation
Bio conservation

NMI cluster/label

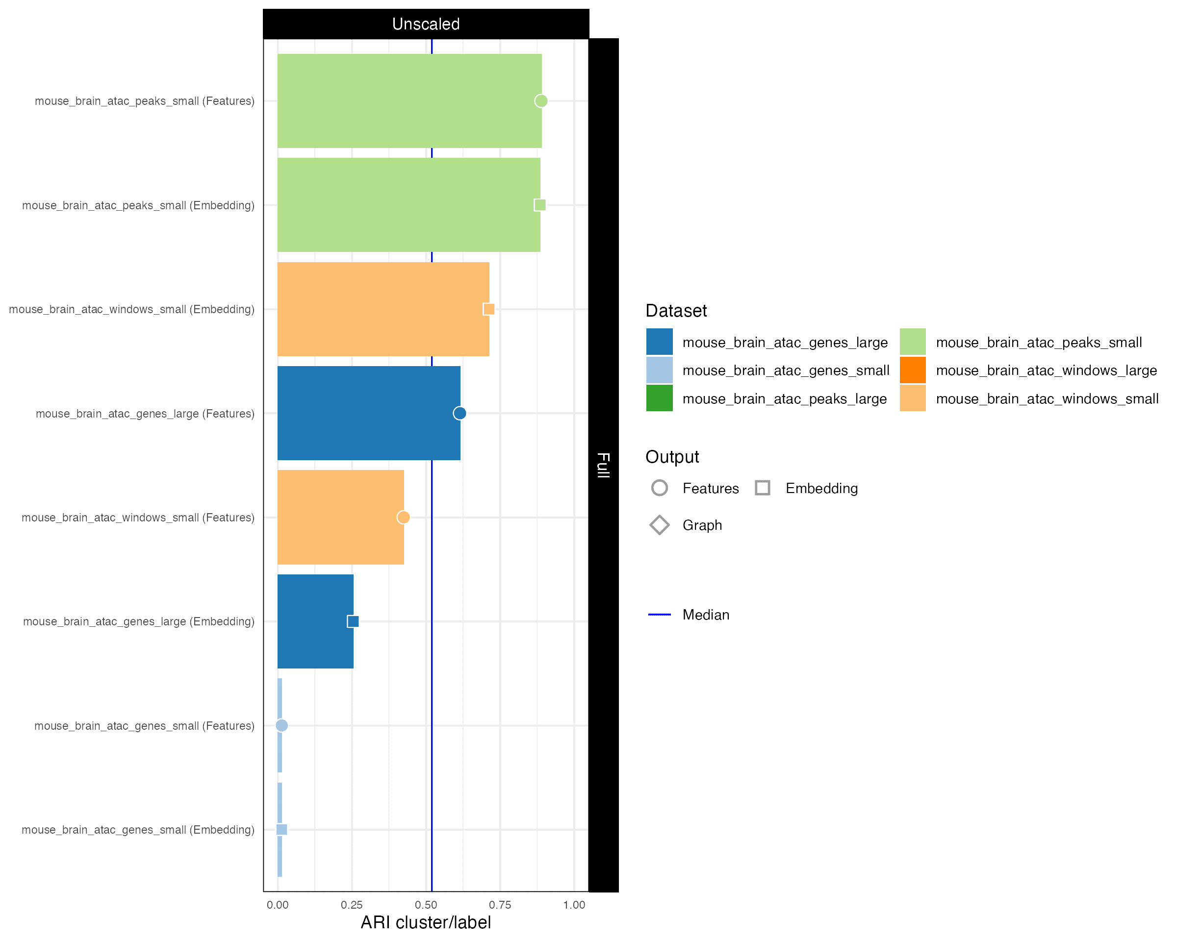
ARI cluster/label

Label ASW

Isolated label F1

Isolated label silhouette

Graph cLISI

HVG conservation

Cell cycle conservation

Trajectory conservation

Embeddings
Dataset (Output)
mouse_brain_atac_genes_large (Features)
Input features (Scaling)
Full (Unscaled)

mouse_brain_atac_peaks_small (Embedding)
Input features (Scaling)
Full (Unscaled)

mouse_brain_atac_peaks_small (Features)
Input features (Scaling)
Full (Unscaled)

mouse_brain_atac_genes_large (Embedding)
Input features (Scaling)
Full (Unscaled)

mouse_brain_atac_windows_small (Embedding)
Input features (Scaling)
Full (Unscaled)

mouse_brain_atac_windows_small (Features)
Input features (Scaling)
Full (Unscaled)

mouse_brain_atac_genes_small (Embedding)
Input features (Scaling)
Full (Unscaled)

mouse_brain_atac_genes_small (Features)
Input features (Scaling)
Full (Unscaled)

Scalability
Time

Memory
